广佛喝茶资源,一线天同城平台,上海喝茶外卖微信wx,全国少女空降200全国空降少女app

您好,欢迎进入河南省中原奥起实业有限公司官方网站!

与时俱进,诚赢客户

龙门吊、提梁机、门式起重机生产厂家

服务电话:13782575673

龙门吊百科

您现在所在位置:首页>>起重资讯>>龙门吊百科

龙门吊主梁跨端的承压梁设计计算

本文链接:http://www.ftbamj.cn/gsxw/525.html???发布时间:2021-03-10 01:32:12??点击量:1696

  大车主梁和端梁由主梁两端的承压梁和端梁连接,在其厚度为δ4的承压梁下盖板处用定位销和高强度螺栓与大车端梁定位连接(图4-26),其主梁在跨端承受由小车自重和*大额定起重量对其起剪压作用R,和大车总重对承压梁的剪压作用Gd。


图4-24箱型梁截面

图4-24箱型梁截面

图4-25上下盖板加劲杆的布置
图4-25上下盖板加劲杆的布置

图4-26承压梁计算相关尺寸
图4-26承压梁计算相关尺寸







 

  如果把y1近似计算成?,则:

  式中 τmax——主梁在跨端的*大剪应力;

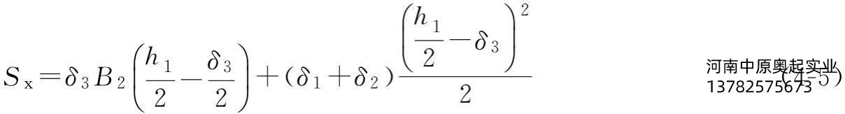
  Sx——主梁跨端位置,承压梁上盖板截面积对中性轴的静面矩(mm3);

  Ix——主梁跨端位置,承压梁的截面惯性矩(mm4);

  δ1——主梁跨端位置,承压梁的主腹板厚度(mm);

  δ2——主梁跨端位置,承压梁的副腹板厚度(mm);

  δ3——主梁跨端位置,承压梁的上盖板厚度(mm);

  δ4——主梁跨端位置,承压梁的下盖板厚度(mm);

  y1——主梁跨端位置,承压梁的截面质心*上盖板顶面的距离(mm)。

  主梁两端和端梁连接的承压梁需设置局部加筋板,按公式设计承压梁比较**。设计主梁的主、副腹板厚度δ1、δ2和主梁净空宽度b0、上盖板宽度B2、承压梁下盖板宽度B1都已确定。承压梁的高度h1可以先按经验公式取值,再通过计算公式和有限元来验算。对63~300t中欧式和大于300t的大欧式主梁,为了加固和端梁连接的承压梁,一般将连接处的上下盖板、主副腹板加厚。加厚的上下盖板、主副腹板和主梁的上下盖板、主、副腹板在里侧错开对接,接口处外表面保持平整(图4-27)。对小欧式主梁连接处的上下盖板、主、副腹板可以不加厚,以计算出的应力大小来决定局部加强。端梁和主梁连接的承压梁高度h1和下盖板宽度B1按经验公式取值。

  h1=(0.25~0.5)h  (4-6)

  B1=(1.2~1.6)B2  (4-7)

  式中 h1——承压梁的高度,一般跨度小取

  小值,跨度大取大值;

  h——主梁的高度;

  B1——承压梁下盖板的宽度;

  B2——承压梁上盖板的宽度(图4-26)。

  单小车主梁的其他说明

  单小车主梁的强度、局部稳定性、疲劳强度、刚度、横向框架抗扭刚度、上拱度、接头、主要焊缝计算,和传统桥式起重机主梁一样。

文章聚合页面:

联系我们

CONTACT US

联系人:徐经理

手机:13782575673

电话:0373-8611375

邮箱:hnzyaqqz@126.com

官网:www.ftbamj.cn

地址:河南长垣起重工业园区华豫大道中段